Sciencemakarioz Org

Metodologi Penelitian Dalam Kesehatan

Bab Iii Kerangka Konseptual Dan Hipotesis Iii Pdfbagan 3 1 Kerangka Konseptual Hubungan Tingkat Pengetahuan
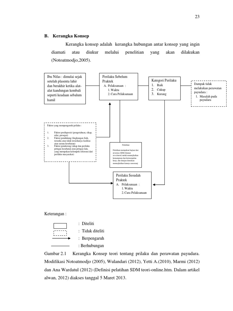
Kerangka Konsep Teori Tentang Prilaku Dan Perawatan Payudara Pdf

I Pendahuluan Dalam Bidang Kesehatan Sampai Saat Ini Angka Kematian Ibu Aki Di Indonesia Menempati Teratas Di Negara Negara Asean Yaitu 228 Per Pdf Free Download

Bab Iii Kerangka Konseptual Dan Hipotesis Iii Pdfbagan 3 1 Kerangka Konseptual Hubungan Tingkat Pengetahuan
Eprints Poltekkesjogja Ac Id
![]()
Doc Hubungan Dbd Dan Psn Fhandi Rumalolas Academia Edu
Bab Iii Bu Irma Pdf

Metodologi Penelitian Dalam Kesehatan
Kerangka Teori Bab 2 Pdf
Tags:
Archive