Of contaminants from the surfaces. Absolute zero is the point at which the fundamental particles of nature.

Semiautomated Biventricular Segmentation In Three Dimensional Echocardiography By Coupled Deformable Surfaces

Representative Dose Distributions Of The Initial And Boost Plans Download Scientific Diagram

Medical Diagnosis For The Student And Practitioner Absolute Liverdulness Tracing Theborder Normallytympanitic Clinical Value 28o Medical Diagnosis Fig 93 Percussion Areas Normal Chest Anterior Surface Lungs Red Liver Horizontal Black Lines
The absolute risk reduction ARR can be calculated by subtracting the incidence rate in the experimental group from the incidence rate in the control group.

Absolute surfaces in medical. While some people swear that sleeping directly on the floor or on other hard surfaces helps with back pain experts say that mattresses rated medium firm are ideal for alleviating back pain. An absolute neutrophil count of 1500 cells per microliter or. The absolute risk analysis helps to figure out how many lives will be saved.
Humidity depends on the temperature and pressure of the system of interest. P233 Keep container tightly closed. However sea-level changes near the coast particularly absolute sea-level changes have been less well monitored than those in the open ocean.
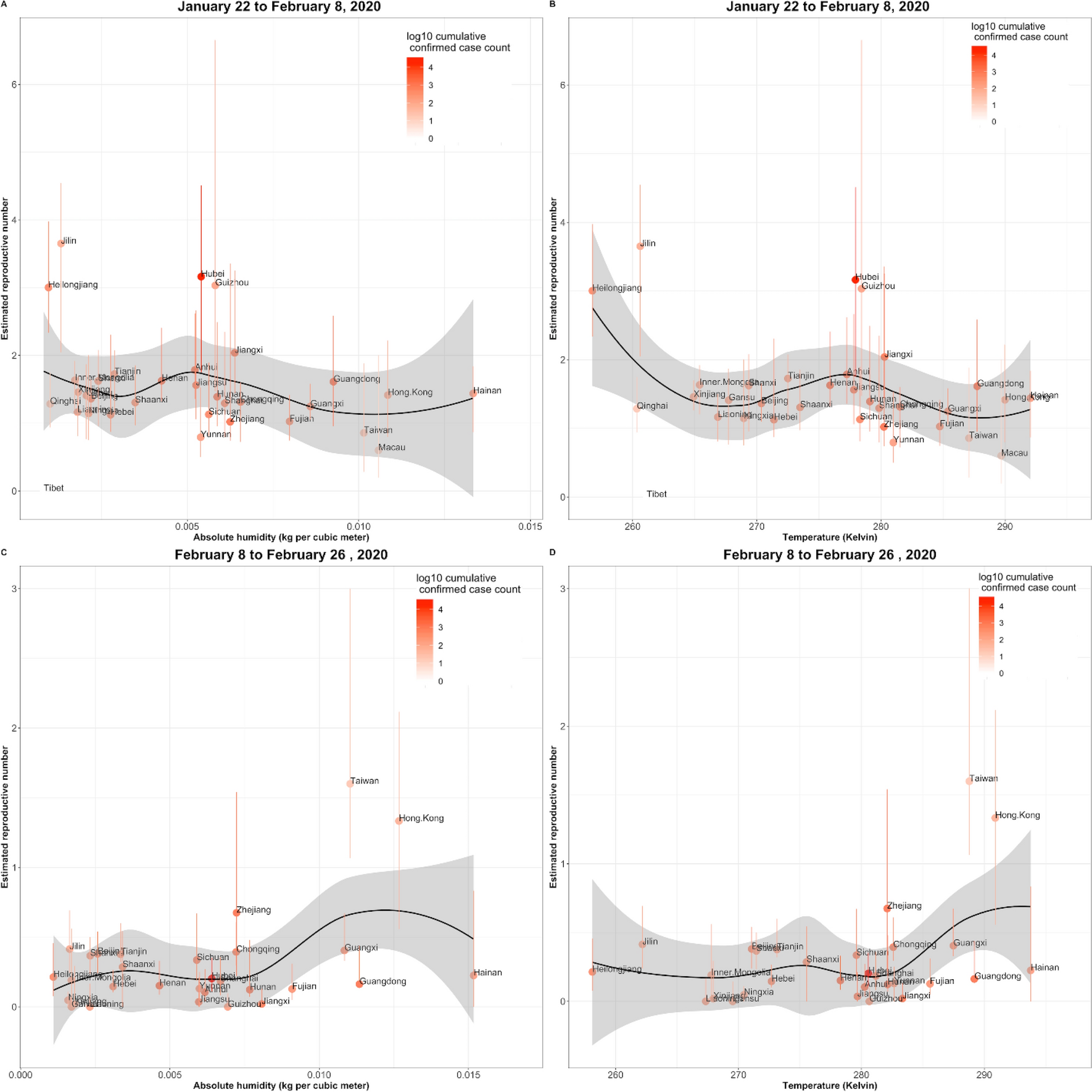
Moreover 90 of all Covid-19 cases in the world were detected in places where absolute humidity was between 4 and 8 gm 3. These questions are important when providing information at banks schools stores when taking surveys and more. Wash off immediately with plenty of water for at least 15 minutes.
Scientists warn against drawing absolute conclusions. Rinse immediately with plenty of water also under the eyelids for at least 15 minutes. It already affects every continent and around 28 billion people around the.
The International System of Units SI unit of temperature is the Kelvin K although other temperature scales are more commonly used for everyday situations. In medical facilities. Adverse yaw Occurs when the planes nose turns.
The value is termed the mixing ratio. When youre in need of home medical supplies and equipment for the injured and elderly look no further than Cascade Healthcare Solutions to find what you need at wholesale prices. From objects and surfaces and normally is accomplished manually or mechanically using water with detergents or enzymatic products.
This is how many people that you need to vaccinate to prevent one case of Covid-19 or one severe case or one death depending on the studys endpoints. Environments their removal is necessary on medical legal. Our full range of products cover all of the industry-leading brands such as McKesson Graham-Field Medline Drive Medical ROHO Invacare Kendall and Coloplast.
Make sure you know how to ask questions with the verb to bePersonal information includes information about a persons job marital status address phone number etc. Briefly the wet conditions appear to discourage aerosol transmission of influenza virus but may increase virus survival in droplets on surfaces. Relative Partial Massage Contraindications.
The ARR tells us how much the reduction is due to the support surface itself and its inverse is the number needed to treat or NNT. Here is a list of medical equipment must-haves for your examination rooms. The following conditions require treatment.
An adjustable exam table ideally with cabinets and storage beneath is an absolute must have and will provide a place to examine patients while also providing much needed storage without taking up extra floor space. Relative humidity is the ratio of the amount of water vapor held in a parcel of air to the amount of. ETHANOL ABSOLUTE Pictogram Signal word Danger Hazard statements H225 Highly flammable liquid and vapour.
Drive Medical 4-Wheel Rollator Rolling Walker with Fold Up Removable Back Support The Drive Medical 4-Wheel Walker Rollator is perfect for providing mobility to those who need assistance. Humidity is the concentration of water vapour present in the air. Precautionary statements P210 Keep away from heat hot surfaces sparks open flames and other ignition sources.
The method is based on a novel relationship between experimentally measurable characteristics of insect. Absolute zero is the lowest possible temperature where nothing could be colder and no heat energy remains in a substance. An appeal in the medical field is a request by a medical professional or office to the third party payer or insurance provider in which they ask them to reconsider paying for a claim or procedure that they have previously refused to pay.
This walker features a durable steel design adjustable handles loop locks non-marring casters and it can double as a comfortable seat as needed. 2 Each procedure involves contact by a medical device or surgical instrument with a patients sterile tissue or mucous membranes. Keep away from open flames hot surfaces and sources of ignition.
P280 Wear protective gloves protective clothing eye protection face protection. Be as high as 600 for absolute cleanliness. Absolute Ceiling The highest altitude an aircraft can fly at maximum throttle while maintaining level height and constant airspeed.
Sterilization is intended to convey an absolute meaning. The instrument used to measure temperature is a thermometer. The effect of high humidity is not the scope of this article.
Humidity indicates the likelihood for precipitation dew or fog to be present. The large air supply is mainly provided to eliminate the settling of the particulate and dilute contamination produced in the room. Knowledge of insect population density is crucial for establishing management and conservation tactics and evaluating treatment efficacies.
Here we propose a simple and universal method for estimating the most probable absolute population density and its statistical bounds. The dental arch refers to one of the two arrangements of teeth located in the human jawbone. Rising sea levels pose one of the greatest threats to coastal zones.
Accelerated Stall A stall that occurs at a higher airspeed than a normal stall due to a higher load factor g. Use personal protective equipment. Water vapor the gaseous state of water is generally invisible to the human eye.
Water scarcity is the lack of sufficient available water resources to meet the demands of water usage within a region. Absolute Altitude The vertical distance between the aircraft and ground level. This condition is a medical emergency and occurs most commonly in cancer patients undergoing.
ABSOLUTE Full Body Massage Contraindication. The coronavirus behind the pandemic can linger on doorknobs and other surfaces. A material in a container with an absolute pressure greater than 276 kilopascals kPa or 40 psi pounds per square inch at 21 degrees Celsius or an absolute pressure greater than 717 kPa 104 psi at 54 degrees Celsius or both or any liquid.
Absolute humidity refers to the amount of water contained in a parcel of air and is commonly measured in grams of water per kg of dry air. With the patients consent their patients medical doctor and talk about their patients condition. Remember to also clean other surfaces in the therapy room such as door knobs.
Use this role play to practice asking about personal information. Absolute zero is 0 K on the Kelvin scale 27315 C on the Celsius scale and 45967 F on the Fahrenheit scale. The inverse of the absolute risk reduction 1ARR is the number needed to vaccinate NNV.
In this study we aim to investigate the potential of Global Navigation Satellite Systems Interferometric Reflectometry GNSS-IR to measure coastal absolute sea-level changes and.

6 Minute Walk Test Vitalograph

Detection Threshold And Reproducibility Of 68ga Psma11 Pet Ct In A Mouse Model Of Prostate Cancer Journal Of Nuclear Medicine

Medical Diagnosis For The Student And Practitioner Fig 93 Percussion Areas Normal Chest Anterior Surface Lungs Red Liver Horizontal Black Lines Relative Cardiacdulness Vertical Black Lines Absolutecardiac Dulness Cross Hatching Stomachtympany
![]()
Medical Led Cree Type Infrared 850nm High Power Led On Star Pcb No Lens The Chip Surface Covered With Silicone For Sale Led Manufacturer From China 107230539

High Tech Solutions For Cleanrooms Purever Tech

Knee Segmentation Using Paint Mask Rhino3dmedical

Sex Chromosomes And Absolute Measures Of Local Cortical Anatomy A Download Scientific Diagram

The Role Of Environmental Factors On Transmission Rates Of The Covid 19 Outbreak An Initial Assessment In Two Spatial Scales Scientific Reports